Report of the Black Staff Dialogue Planning Committee Findings
- 2000-Jun-19
Rights
Download all 21 images
PDFZIPof full-sized JPGsDownload selected image
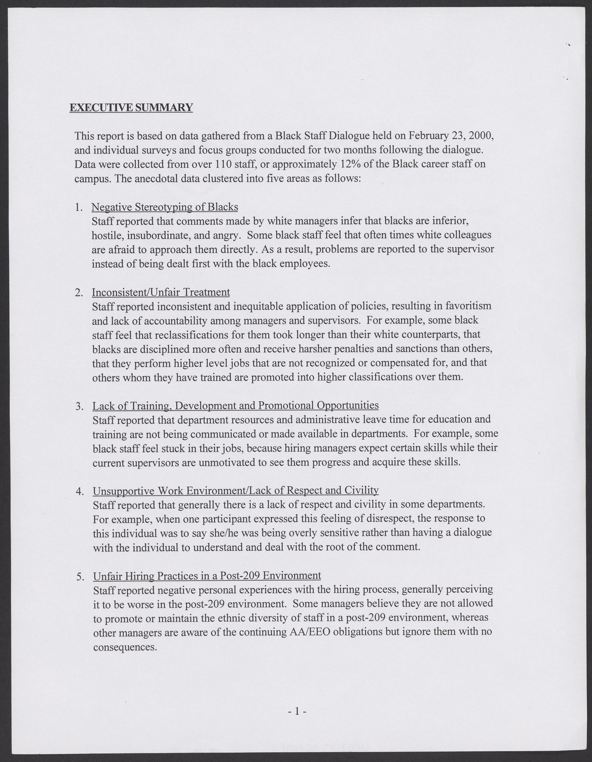
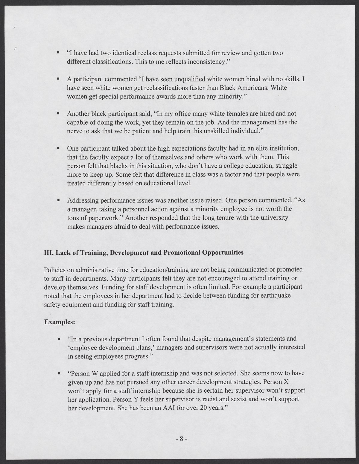
Small JPG1200 x 1548px — 260 KBLarge JPG2880 x 3716px — 1.5 MBFull-sized JPG5329 x 6876px — 5.3 MBOriginal fileTIFF — 5329 x 6876px — 105 MBExecutive summary and report of the Black Staff Dialogue Planning Committee's findings on the experiences of Black staff at the University of California, Berkeley. The report is based on data collected by over 110 staff members from UC Berkeley during the year 2000.
| Property | Value |
|---|---|
| Creator of work | |
| Place of creation | |
| Format | |
| Genre | |
| Extent |
|
| Language | |
| Subject | |
| Rights | In Copyright - Rights-holder(s) Unlocatable or Unidentifiable |
| Credit line |
|
Institutional location
| Department | |
|---|---|
| Collection | |
| Series arrangement |
|
| Physical container |
|
View collection guide View in library catalog
Related Items
Cite as
Black Staff Dialogue Planning Committee. “Report of the Black Staff Dialogue Planning Committee Findings,” June 19, 2000. William A. Lester, Jr. Papers, Box 32, Folder 37. Science History Institute. Philadelphia. https://digital.sciencehistory.org/works/4mowa24.
This citation is automatically generated and may contain errors.
/
Rights
Download all 21 images
Searchable PDFmay contain errorsZIPof full-sized JPGsDownload selected image
-
Keyboard Shortcuts
Previous image shift + or , Next image shift + or . Pan image Zoom in + or shift + Zoom out - or shift + Zoom to fit 0 Close viewer esc Also
Mouse click to zoom in; shift-click to zoom out. Drag to pan. Pinch to zoom on touch.